Assessment of Cadmium Concentrations in Rice Cultivars Soils at Different Altitudinal Levels in San Martín
DOI:
https://doi.org/10.55873/rba.v3i2.383Keywords:
agrochemicals, contamination, phytoremediation, heavy metals, agricultural soilsAbstract
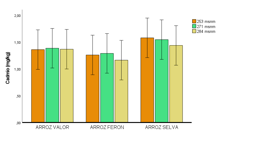
The excessive use of agrochemicals has led to cadmium accumulation in agricultural soils, posing risks to health and ecosystems. This study evaluated cadmium concentrations in rice cultivar soils at different altitudes in the San Martín region of Peru. A quasi-experimental quantitative design was used, analyzing three varieties (Valor, Feron, and Selva) at various altitudes, with physicochemical measurements and ANOVA for contrasts. The results showed high concentrations in all plots and an increasing trend with altitude; the highest was recorded at 284 m s. n. m. In addition, low pH, organic matter, and cation exchange capacity were observed. It is concluded that cadmium contamination is widespread and significantly related to altitude. Sustainable agricultural practices and remediation measures are required, prioritizing high-altitude areas. It is recommended to investigate accumulation mechanisms by variety and evaluate phytoremediation to safeguard food safety and public health.
References
Acuña, S., & Gonzales, D. (2021). Impacto ambiental del suelo del cultivo de arroz por uso de plaguicidas, con remediación de miel de cacao, Tarapoto, 2021 [Universidad Cesar Vallejo]. https://hdl.handle.net/20.500.12692/75235
Arzube Mayorga, M. P., León Mejía, Á. R., Ramírez Flores, L. C., & Sánchez Saavedra, R. J. (2022). Evaluación de cultivares de (Oryza sativa l.), a la calidad de agua de riego en Manglaralto, Santa Elena. Revista de Investigación Talentos, 9(2), 136–145. https://doi.org/10.33789/talentos.9.2.176
Bayona-Penagos, L. V. (2021). Efecto y mitigación de la toxicidad por arsénico y cadmio en cultivo de arroz. Ciencias Agropecuarias, 6(2), 49–70. https://doi.org/10.36436/24223484.327
Del Castillo Navarro, H., & Encina Rimachi, J. (2021). Evaluación del suelo, por metales pesados, producto del uso de agroquímicos en cultivos de arroz, Mishquiyacu, Tarapoto, 2021 [Universidad César Vallejo]. https://repositorio.ucv.edu.pe/handle/20.500.12692/84581
Flores, A., & Novoa, L. (2022). Determinación de las concentraciones de plomo y cadmio en diferentes marcas de arroz (Oryza sativa) expendidos en el mercado Huamantanga – Puente Piedra durante el periodo noviembre- diciembre 2021 [Universidad Nacional Mayor de San Marcos]. https://hdl.handle.net/20.500.12672/18916
Fu, H., Yu, H., Li, T., & Wu, Y. (2019). Effect of cadmium stress on inorganic and organic components in xylem sap of high cadmium accumulating rice line (Oryza sativa L.). Ecotoxicology and Environmental Safety, 168, 330–337. https://doi.org/10.1016/j.ecoenv.2018.10.023
Garavito Neira, F. (1974). Propiedades químicas de los suelos. Instituto Geográfico Agustín Codazzi. http://hdl.handle.net/20.500.12324/18436
Hu, P., Zhang, Y., Dong, B., Gao, W., Cheng, C., Luo, Y., Christie, P., & Wu, L. (2019). Assessment of phytoextraction using Sedum plumbizincicola and rice production in Cd-polluted acid paddy soils of south China: A field study. Agriculture, Ecosystems & Environment, 286, 106651. https://doi.org/10.1016/j.agee.2019.106651
Huaraca-Fernandez, J. N., Pérez-Sosa, L., Bustinza-Cabala, L. S., & Pampa-Quispe, N. B. (2020). Enmiendas orgánicas en la inmovilización de cadmio en suelos agrícolas contaminados: una revisión. Información Tecnológica, 31(4), 139–152. https://doi.org/10.4067/S0718-07642020000400139
Irigoin Quintana, V., & Trigoso Tuesta, L. P. (2022). Determinación de la correlación de las propiedades físicas y químicas del suelo con los contenidos de cadmio y la colonización micorrízica en “cacao” Theobroma cacao L. como monocultivo en diferentes pisos altitudinales de la Región San Martín, Perú [Universidad Católica Sedes Sapientiae]. https://hdl.handle.net/20.500.14095/1631
Ishikawa, S. (2020). Mechanisms of cadmium accumulation in rice grains and molecular breeding for its reduction. Soil Science and Plant Nutrition, 66(1), 28–33. https://doi.org/10.1080/00380768.2020.1719806
Jara, B., & Rueda, D. (2020). Evaluación de los Niveles de Cadmio en Cultivos de Arroz a Nivel de Suelo y Grano, Ubicados en la Vereda Canaguaro del Municipio de Granada Meta [Universidad Santo Tomás]. http://hdl.handle.net/11634/28273
Kormoker, T., Proshad, R., Islam, M. S., Tusher, T. R., Uddin, M., Khadka, S., Chandra, K., & Sayeed, A. (2022). Presence of toxic metals in rice with human health hazards in Tangail district of Bangladesh. International Journal of Environmental Health Research, 32(1), 40–60. https://doi.org/10.1080/09603123.2020.1724271
Lozano, M., & Suárez, M. (2022). Remediación del suelo del cultivo de arroz, con dolomita y humus, Cacatachi, 2022 [Universidad Cesar Vallejo]. https://hdl.handle.net/20.500.12692/105119
Paredes García, F. de M., & Romero Panduro, D. M. (2021). Remediación de suelo agrícola dedicado al cultivo de arroz con concentraciones de cadmio, mediante la aplicación de microorganismos eficaces y carbón activado [Universidad César Vallejo]. https://hdl.handle.net/20.500.12692/61772
Pernía, B., Añazco, K., Mero, M., Mayía, Y., & Cobos, P. (2021). Efectos del cadmio sobre la germinación y crecimiento inicial de cinco variedades de Oryza sativa L. cultivadas en Ecuador. Acta Agronómica, 70(1), 82–92. https://doi.org/10.15446/acag.v70n1.87636
Ríos, S., & Saavedra, W. (2019). Mejoramiento de suelos en cultivos de arroz a través del abonamiento con cascarilla de café y agua miel de cacao, 2019 [Universidad Cesar Vallejo]. https://hdl.handle.net/20.500.12692/48688
Tariq, F., Wang, X., Saleem, M. H., Khan, Z. I., Ahmad, K., Saleem Malik, I., Munir, M., Mahpara, S., Mehmood, N., Ahmad, T., Memona, H., Ugulu, I., Fiaz, S., & Ali, S. (2021). Risk Assessment of Heavy Metals in Basmati Rice: Implications for Public Health. Sustainability, 13(15), 8513. https://doi.org/10.3390/su13158513
Tineo Nuñez, B. G., & Periche Viera, R. E. (2019). Evaluación del contenido de metales pesados en la margen izquierda del valle del río Tumbes y su absorción por el cultivo de arroz durante el periodo Marzo – Julio 2018 [Universidad Nacional de Tumbes]. http://repositorio.untumbes.edu.pe/handle/UNITUMBES/383
Torrente Trujillo, A., Calderón Manchola, L. V., & Joven Santofimio, E. M. (2020). Metales en suelos productores de arroz del distrito Juncal, Huila - Colombia. Suelos Ecuatoriales, 50(1y2), 1–12. https://doi.org/10.47864/SE(50)2020p1-12_121
Zulkafflee, N. S., Redzuan, N. A. M., Selamat, J., Ismail, M. R., Praveena, S. M., & Razis, A. F. A. (2020). Evaluation of Heavy Metal Contamination in Paddy Plants at the Northern Region of Malaysia Using ICPMS and Its Risk Assessment. Plants, 10(1), 3. https://doi.org/10.3390/plants10010003

Downloads
Published
How to Cite
Issue
Section
License
Copyright (c) 2024 Carmen Saraí Dioses-Vergara , Junior Joseph Góngora-Vásquez , Luis Alberto Ordeñez-Sánchez

This work is licensed under a Creative Commons Attribution 4.0 International License.